动能定理及其应用视频 (动能定理的应用情景)

今日导读:

1.有同学留言对暑假作业中《天利38套》7-20T的答案有疑问,简析之!

2.呈现的仅仅是分析过程,主要想强调动能定理应用的注意事项,具体答题格式,请同学们参照高考样题的评分标准,自行组织。

动能定理应用中的多过程问题:简析《天利38套》一例!

动能定理的表述:

合力所做的功等于物体动能的变化 F合S = ΔEk

各力做功的代数和等于动能的增量

mV22/2 – mV12/2 = F1S1+ F2S2 + ···

说明:

(1)仅反映的是力做功与动能改变的关系

(2)此式为标量式,只要大小,不问方向。

(3)式中V、S均以地面为参照系

动能定理的作用及优点:

(1)动能定理主要用来解决力和运动的关系(F、S、V间的关系)

(2)动能定理只涉及受力情况、位移大小、始末状态,不涉及加速度、时间,也不问运动形式、运动细节,故对变力做功、曲线运动、复杂过程中的功能转化问题用之较多。

例题:

如图所示,足够长的对接斜面AO和BO均与水平方向成角α=53°,质量为m=2kg的小物块由AO上高度h=4m处由静止释放。小物块与斜面AO间动摩擦因数为μ=1/3,斜面BO光滑,每次经过对接O处前后瞬间小物块的速度大小保持不变。求:

动能定理应用中的多过程问题:简析《天利38套》一例!

(1)小物块第一次冲上斜面BO所达到的最大高度h1;

(2)小物块在斜面AO和BO上运动足够长时间后滑过粗糙面的总路程S1;

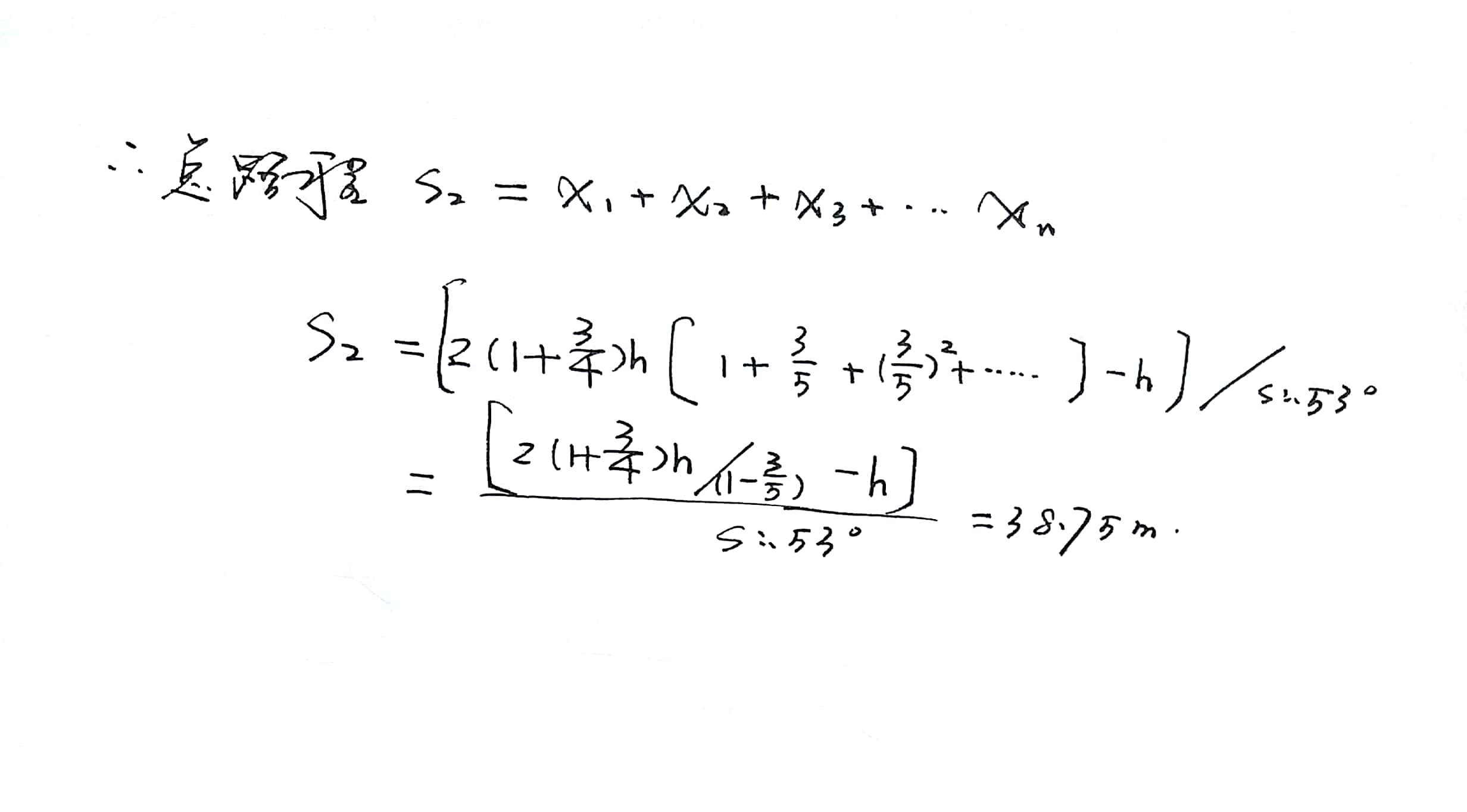
(3)小物块在斜面AO和BO上运动足够长时间后所经过的总路程S2。

✎分析:

动能定理应用中的多过程问题:简析《天利38套》一例!

动能定理应用中的多过程问题:简析《天利38套》一例!